暦年贈与や相続時精算課税制度の法改正が行われるなど、2026年は相続や贈与に関して大きな転換点を迎えています。相続税対策をこれまで以上に進めていきたい、と感じている方も多いでしょう。
では、日本の相続税の実態とは、海外と比較するとどのように異なっているのでしょうか。
2026年現在、日本の相続税の税率は10%~55%に設定されており、取得する遺産の額が多ければ多いほど、発生する相続税率も高くなります。
本記事では日本の相続税について、海外と比較します。世界相続税ランキングについてもあわせて紹介しますので、是非ご一読ください。
目次
この記事の監修者

税理士 桐澤寛興
戸田譲三税理士事務所(現税理士法人みらいパートナーズ)、富士通株式会社 社内ベンチャー企業 勤務を経て2004年 桐澤寛興会計事務所 開業その後、2012年に響き税理士法人に組織変更。相続相談者様の悩みに寄り添うサービスを心がけている。
2026年最新版!世界相続税ランキング

※邦貨換算レート:1ドル=154 円、1ポンド=196 円、1ユーロ=163 円(基準外国為替相場及び裁定外国為替相場:令和7年(2025 年)1月中適用)。なお、端数は四捨五入しています。
画像及びデータの出典
財務省:相続税、贈与税など(資産課税)に関する資料
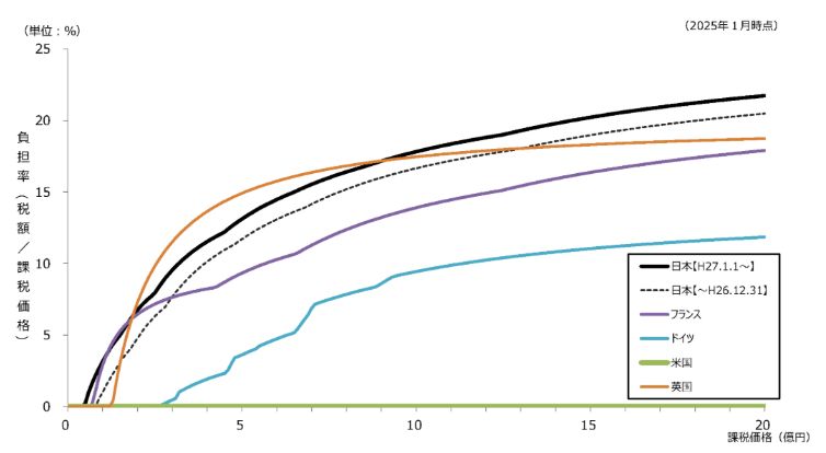
上のグラフは、財務省が公開している2025年最新版「主要国の相続税負担率」を示しています。※2026年4月現在、2025年版の資料が最新です。更新され次第、この記事のデータも更新いたします。
すべて、相続人に配偶者+子が二人いる場合とし、配偶者が遺産の半分、子が残りの遺産を均等に取得したことを想定して算出しています。
縦軸が「負担率」であり、相続税の課税価格に占める「相続税額の割合」です。
横軸は「課税価格」を示しています。課税価格とは財産の総額ではなく、財産のうち、基礎控除額等を除いた税率がかけられる財産の価格のことを言います。
日本の数字は、黒い太線が平成27年の税法改正以降、黒い点線が税法改正前のものです。日本は9~10億を境目にイギリスをゆるやかに追い抜いており、他国のデータと比較すると高い相続税負担率となっています。
日本の相続税の税率は1位って本当?
上のグラフの通り、日本の相続税の税率は1位です。正確に言えば、課税価格が11億円を超えるあたりの負担率は、日本が1位となります。
11億円未満の負担率は、イギリスがかなり高い割合となり、単独トップですね。H27年の相続税の税法改正前は、イギリスとトップがかわる分岐点は15億円ほどでした。
課税価格が高くなるほど、日本と他国との差は大きくなり、課税価格が20億円の場合では二位のイギリスとは5%近く負担率に差が出ます。また、課税価格が1億円未満の場合においても、日本はフランスと並んで比較的高い負担率となっています。
課税価格1億円未満の世帯、11億円以上の世帯には、世界と比較して高い負担率を突き付けられている、ということです。
世界の相続税率はどのくらい?

では、世界の相続税はどうでしょう?それぞれ見てみましょう。
イギリス
イギリスの相続税は「遺産課税方式」であり、日本のように相続人だけで自由に遺産の分割はできません。
遺産課税方式のイギリスでは相続人の人数や財産の分け方などに関係なく、原則として遺産そのものに相続税が課税されており、相続税率は一律で40%となっています。
ただ、イギリスでは不動産が非課税となることや相続税の減税のため、亡くなった方のうち相続税が課税されるのはわずかとされています。
課税価額が32万5,000ポンド(約6,700万円)までは基礎控除とされており、原則非課税です。配偶者も免税されます。
住宅非課税枠が17万5,000ポンド(約3,600万円)あり、実質50万ポンド(約1億300万円)が非課税になります。
その他、居住している自宅やその持ち分を子どもや孫が相続する場合には、最大10万ポンド(日本円で約2,055万円)の控除が加算されています。
フランス
フランスの相続税にも「遺産取得課税方式」が採用されています。
イギリスの遺産課税方式と名称が似ていますが、内容は全く異なるので注意しましょう。
遺産取得課税方式とは、相続人がどの程度の財産を相続したかによって相続税額を決める方法です。
フランスでは、夫婦の財産は原則として共有財産とされます。そのため、相続財産のうち配偶者の取得部分は免税され、相続税率については、5~45%の7段階で組まれています。
日本では相続開始前7年以内(現在3年から段階的に移行中)に生前贈与した財産が加算されますが、フランスではその期間がさらに長く相続開始前15年が持ち戻しされます。
また、基礎控除額が10万ユーロ(約1,730万円)と低くなっているのも特徴です。
ドイツ
ドイツの相続税もフランスと同様に「遺産取得課税方式」を採っています。
相続税率は7~30%で、7段階ですが、相続する方の続柄によっては最高税率は50%です。
相続開始前の生前贈与加算は、相続開始前10年とこちらも日本より長くとられています。
ドイツでは、配偶者に基礎控除50万ユーロ+特別扶養控除25.6万ユーロのあわせて75.6万ユーロ(約1億3,000万円)が認められます。
さらに、配偶者に認められているのが「剰余調整分」です。
亡くなった配偶者の婚姻中の財産増加額が、生きている配偶者の財産増加分を上回る場合、その差額の1/2までが非課税となります。
一方、子には40万ユーロ(約6,900万円)の基礎控除があり、子の年齢に応じてさらに特別扶養控除が設けられていて、被相続人との続柄によって基礎控除が変動するのも特徴です。
アメリカ
アメリカもフランス・ドイツと同様に、遺産課税方式をとっています。呼称については正確には相続税ではなく、「遺産税」と呼ばれます。
遺産税は「亡くなった本人が納める」というのが基本的な考え方です。
アメリカでは、なんと1,118万ドル(約17億7,000万円)もの基礎控除が認められているのです。
さらに、配偶者がアメリカに市民権があれば基礎控除に関係なく、非課税です。
そのため、アメリカでは遺産税が発生するのはごくわずかな限られた富裕層だけと言えます。
ほかにも、州ごとによって基礎控除額や税率も設けられていることがあるので、その州に財産がある場合には注意が必要です。
日本の相続税について学ぼう!

では、諸外国の相続税について学んだところで、日本の相続税はどうなっているのでしょうか?
日本の相続税は累進課税制度を採用しており、高い税率が特徴的です。以下で詳しく見ていきましょう。
日本の相続税率はトップクラス?
日本の相続税率は最高で55%と、税率では世界トップクラスとなっています。しかし、相続する遺産全てに課税が行われるわけではありません。
受け取った財産から負の財産や基礎控除を差し引き、残った部分を相続人ごとに分け(分けられた相続分を「法定相続分」と言います)、そこに税率を掛けます。
また、さまざまな控除制度が用意されているため、高い税率でも納税を回避できる人は少なくありません。
- 基礎控除 「3,000万+600万円×法定相続人数」
相続税の速算表
下記に示す相続税の速算表は「被相続人ごと」ではなく「相続人ごと」によって異なります。。
| 相続税の速算表 | ||
|---|---|---|
| 法定相続分に応ずる取得金額 | 税率 | 控除額 |
| 1,000万円以下 | 10% | - |
| 3,000万円以下 | 15% | 50万円 |
| 5,000万円以下 | 20% | 200万円 |
| 1億円以下 | 30% | 700万円 |
| 2億円以下 | 40% | 1,700万円 |
| 3億円以下 | 45% | 2,700万円 |
| 6億円以下 | 50% | 4,200万円 |
| 6億円超 | 55% | 7,200万円 |
受け取る相続分が低いほど税率は低く、高くなるほど税率も高くなります。
基礎控除内に収まれば、相続税は発生しません。
相続税に用意されている控除・特例とは
解説のとおり日本は高い相続税率が特徴的ですが、基礎控除以外にも控除や特例が用意されており、正しく活用することで相続税を抑える効果があります。
早速制度名を紹介します。
・小規模宅地等の特例
・納税猶予の特例
また、生命保険金や死亡退職金にも控除が適用できます。大切な未来への財産は、控除や特例の活用で守ることができるのです。
控除や特例は複雑な書類を用意することも多いため、相続税計算時に税理士へご相談されることがおすすめです。
相続税がない国はあるの?

世界には相続税がない国もあります。相続税がない国は主に以下が挙げられます。
- 中国、香港
- モナコ
- インド
- シンガポール
- マレーシア
- オーストラリア
- ニュージーランド
- スウェーデン
- ノルウェー
- カナダ
- ポルトガル
このうち、スウェーデンやノルウェーなど多くの国はもともとあった相続税を廃止しています。廃止に至った理由は各国それぞれありますが、大きく分けて三つの理由が考えられます。
- 国外から富裕層を集めるため
- 富裕層が外国へ出ていくのを防ぐため
- 多額の相続税負担によって生じる、事業継承の問題などを解決するため
日本で多額の相続税を払う可能性がある人にとっては、相続税のない国に移住を検討する人も多いでしょう。
しかし、海外に移住したからと言って必ずしも日本の相続税から逃れられるわけではありません。
日本の場合、被相続人・相続人共に海外に移住していることが必要で、かつ移住してから10年以上経過している必要があります。加えて、相続財産が海外資産のみである方に限られます。
移住して10年未満の場合や相続人が一人でも日本に居住している場合は、日本での相続税の納付が必要です。
日本に出国税はある?
海外移住を目指す場合には、出国税の存在についても押さえておきましょう。
出国税とは、2015年から始まった「国外転出時課税制度」のことを意味します。出国する際に1億円以上の資産があった場合、資産の含み益に税金が発生するのです。
本制度に該当する場合、申告手続きを行う必要があります。国外転出の時までに、納税管理人の届出を行う必要があります。
なお、納税猶予の特例も用意されていますので、移住予定の方はお早めに税理士にご相談ください。
参考URL 国税庁 国外転出時課税制度
まとめ
日本の相続税額は諸外国と比較すると最高税率は高いですが、さまざまな控除・特例が用意されています。税理士に相談すると、生前から贈与の制度も活用しながら、相続税対策を進めることもできます。
まずはお気軽に、神奈川県横浜市を拠点に、相続税や贈与税などに広く対応する響き税理士法人にご相談ください。

戸田譲三税理士事務所(現税理士法人みらいパートナーズ)、富士通株式会社 社内ベンチャー企業 勤務を経て2004年 桐澤寛興会計事務所 開業その後、2012年に響き税理士法人に組織変更。相続相談者様の悩みに寄り添うサービスを心がけている。


















・基礎控除
・配偶者控除
・未成年者控除
・障害者控除
・相次相続控除
・贈与税額控除